摘要:从《农业环境科学学报》2025年刊出的论文可以看出,我国农业环境科学研究焦点从土壤重金属污染与修复开始向微塑料、抗生素及抗性基因、氟化物等新污染物转变。《学报》论文揭示了我国部分水产品微塑料和抗生素污染现状,但尚无作物产品新污染物污染现状的调查数据出现,这制约了农业生产环境新污染物污染作物产品的风险评估。人工智能的应用开始受到了农业环境科学研究和应用的重视,《学报》2025年设立了“机器学习技术赋能农业环境科学研究"专栏。农业环境科学领域数据资源不足,质量不高可能制约人工智能作用的发挥。
摘要:水热腐殖化(HTH)合成人工腐植酸(AHA)不但能实现有机固废资源化,而且AHA在农业增效、土壤改良与污染修复等领域也有重要应用,具有减污降碳协同优势。基于此,本文系统综述了HTH合成AHA技术、AHA农业与环境应用研究进展。首先,阐明了HTH的影响因素、强化方法、合成机理、功能调控、催化机制及AHA特性等。其次,分析了AHA在农业增效包括促生作用、养分增效与土壤改良,以及在环境污染修复中的应用。最后,深入剖析了HTH合成AHA及其应用存在的挑战,据此梳理出未来主要研究方向,为推动HTH合成AHA技术、AHA在农业增效与环境修复等领域的应用提供了重要的理论基础与技术支持。
摘要:农田环境信息遥感监测对指导农业生产、加强资源管理和促进生态保护等具有重要作用,在农业智能化、信息化转型过程中扮演着关键角色。本文从平台、技术、应用3个方面梳理了农田环境遥感监测的研究进展:首先对比分析了不同遥感平台的技术特点与发展趋势;然后详细介绍了农田环境信息遥感监测过程中传感器技术、光谱分析技术及人工智能数据解析技术的研究现状;最后归纳总结了遥感技术在农田环境监测中的典型应用案例,并对未来发展提出展望。
摘要:本研究基于5个全球气候模式(GCM)和3个SSP情景(SSP1-2.6、SSP2-4.5、SSP3-7.0),采用土地生产估计系统(ESLP)模型估算未来情景下(2025—2050年)华北平原(5省2市)的小麦、玉米、水稻气候生产潜力,并利用线性倾斜率和Mann-Kendall趋势检验法、AreGIS空间分析法分析其年际变化趋势以及空间分布特征,并与历史基准时间(1990—2014年)进行对比。结果表明:从时序变化特征看,与基期相比,未来情景下玉米的年际平均气候生产潜力上涨幅度为 22.32%~37.46% ,水稻上涨幅度为 28.78%~39.11% ,小麦变化幅度为 -9.18%~4.24% 。在SSP1-2.6、SSP2-4.5情景下3种作物气候生产潜力均会提高,但在SSP3-7.0情境下小麦气候生产潜力会降低。从空间变化特征看,玉米气候生产潜力分布与基期类似,由华北平原北部燕山向南北两侧递减,南北分布差异明显。小麦气候生产潜力空间分布由基期的南北递减转变为由东南向西北递减的格局。水稻气候生产潜力空间分布由基期的南北走势转为由西南向东北逐级递减的趋势,且高值区范围更广。在未来气候变化中,水分是影响玉米气候生产潜力的主导因子。而影响小麦的最大影响因子则是温度。辐射和水分因子共同主导水稻气候生产潜力的变化。温度会降低水分、辐射因子对于玉米、小麦气候生产潜力增益效果,但会提高水分、辐射因子对水稻气候生产潜力增益效果。研究表明,未来气候变化对华北平原不同粮食作物气候生产潜力影响显著,且存在明显的空间区域差异,优化农业管理措施来适应气候变化显得尤为重要。
摘要:为探究纳米引发技术在增强作物低温耐性中的应用潜力,本研究制备出两种掺杂氧化铈纳米颗粒:掺锰氧化铈纳米颗粒(Mn-CeO2NPs 和氧化锌掺杂氧化铈纳米颗粒 (ZnO-CeO2NPs, ),以低温敏感型油菜品种宁杂158为对象,探究二者对油菜种子低温萌发的调控效应及生理机制。结果表明,在低温处理下,油菜种子发芽势和发芽指数分别降低 18.5% 和 46.2% Mn-CeO2 NPs引发对低温条件下油菜种子萌发特性均无显著影响,而 ZnO-CeO2 NPs引发显著提升了种子的发芽势(提高 26.9% )、发芽指数(提高11.1% )及活力指数(从760.2增加至788.1)。 ZnO-CeO2NPs 引发主要通过两种途径增强油菜种子低温耐性: ZnO-CeO2 NPs引发通过显著提高种子中 β- 淀粉酶活性(提高 31.2% ),促进了贮藏淀粉的降解,使可溶性糖含量增加 26.5% ,为种子提供渗透保护与能量底物;激素代谢组学分析显示, ZnO-CeO2 NPs引发显著提升了低温胁迫下种子中赤霉素4(增加 133.6% )和水杨酸(增加 97.8% ))的含量,两种激素通过协同作用打破生理休眠并启动系统抗性,从而增强了油菜低温耐性。
摘要:为研究污泥源制备的碱性水溶肥的安全施用方式以及喷施次数对作物的影响,本研究在小油菜生长不同时期,通过施用不同稀释倍数(200、400倍和600倍)和不同次数(2次和4次)的多肽水溶肥的双因素处理,探究水溶肥对小油菜产量、叶绿素、可溶性糖及土壤养分含量等的影响。结果表明:土施加喷施水溶肥能提高小油菜叶绿素、可溶性糖含量和产量,其中土施且喷施2次稀释200倍水溶肥处理提高效果最显著,较不施用水溶肥处理分别增加 52.02%.178.34% 和 95.23% ;土施且喷施2次稀释200倍水溶肥处理均能显著提高小油菜全氮、全磷、全钾含量,分别达到 4.35,0.94g?kg-1 和 2.30g?kg-1 ,较不施用水溶肥处理分别增加74.25%.40.30% 和 16.16% ,且氮素累积量和氮素吸收效率也达到最高,分别为 1042.22mg? 株-和 15.56% ;土施加喷施水溶肥也能提高土壤有机质、全氮和碱解氮含量,当施用稀释200倍水溶肥时,含量能显著提高。研究表明,污泥源多肽水溶肥应用于蔬菜生产中,可提高蔬菜产量、质量和抗逆性,为我国提供了一条资源化、无害化利用污泥的新途径。
摘要:为深入探究Cd在铁氧化物厌氧转化过程中的固存释放行为以及与铁氧化物的微观交互机理,本研究选取环境中广泛分布的铁氧化物——水铁矿为研究对象,设置二价铁[Fe(II)]介导下的水铁矿-Cd(II)共沉淀转化体系,通过化学批量提取实验探究了铁氧化物转化不同时间点上重金属Cd的固存-释放特性,通过X射线衍射(XRD)、X射线光电子能谱(XPS)和球差校正扫描透射电子显微镜( Cs-STEM )系统揭示Cd对铁氧化物转化过程的影响以及Cd在铁氧化物纳米颗粒上的微观固存机制。结果表明:针铁矿( 80.9% )和磁铁矿( 19.1% )是Fe(ⅡI)介导的水铁矿-Cd(Ⅱ)共沉淀转化体系的最终产物,纤铁矿为中间产物。化学提取实验表明 34.1% 的 Cd(I) 以不可提取的形态最终被铁氧化物固存。Cs-STEM对矿物元素含量的分析结果显示,8h时Cd(I)在针铁矿上的含量( 1.9% )显著高于其在磁铁矿 (0.8% )和纤铁矿 (0.3% )上的含量。对单一针铁矿颗粒亚纳米尺度的精细成像和晶面间距的分析表明,Cd(I)在针铁矿特征晶面上呈现明显亮点,针铁矿晶面间距变化最大的为G(111)晶面,相较于不含Cd的纯水铁矿处理,其间距增加 0.0438AA 。XPS结果显示,转化过程中金属一氧键比例由 45.0%(8h) 显著下降至 4.8%(168h) ,表面结合态Cd比例下降。综合化学提取实验、Cs-STEM和XPS结果得出,Cd(II)可以通过铁氧化物的厌氧转化以同晶取代的方式固存在针铁矿晶体结构中,从而降低其迁移特性。
摘要:为探讨 MnSO4 和不同钝化材料联合施用对酸性Cd污染稻田的钝化修复效果,选取某酸性Cd污染稻田为试验对象,研究MnSO4 和4种钝化材料[生物炭(BC)、腐植酸(HA)、赤泥(RM)和高岭土(KL)联合施用对土壤的理化性质、根表铁胶膜、有效态Cd含量、Cd形态分布和水稻各部位(根、茎叶、籽粒)Cd富集量的影响。结果表明, MnSO4 与钝化材料的联合施用可显著降低Cd污染稻田土壤中Cd的生物有效性,并抑制水稻对Cd的吸收,且添加量越大,钝化效果越明显。 MnSO4 与钝化材料联合应用显著降低土壤有效态Cd含量(降幅为 33.33%~51.22% ),其中成熟期时 MnSO4+ 生物炭 3.0t?hm-2(MnBC2 处理效果最佳;联合施用显著促进Cd由酸溶态向可还原态和残渣态转化(残渣态占比提升 0.47%~22.27% ,其中成熟期时 MnSO4+ 赤泥 3.0t?hm-2(MnRM2) 处理提升残渣态Cd的效果最佳; MnSO4 联合钝化材料在添加量为( ) t?hm-2 时,水稻籽粒Cd含量较CK降低 32.14%~51.42% ,均低于食品安全限值 (0.2mg?kg-1) ,其中MnRM2和 MnBC2 处理效果最优。 MnSO4 与钝化材料的联合施用通过调控土壤理化性质、促进根表铁胶膜生成及多方面钝化机制,显著降低了Cd的生物有效性。研究表明, MnBC2 和MnRM2两种组合的修复性能最优,MnSO4+ 高岭土 3.0t?hm-2(MnKL2) 和 MnSO4+ 腐植酸 两种组合的修复性能还需进一步加强,后续研究应关注田间长期修复效果及材料稳定性。
摘要:为探究不同施钼 (Mo) 量对镉(Cd)污染土壤中小麦Cd吸收及转运的影响,通过盆栽试验,选用百农307为试验材料,设置Cd0Mo0?Cd10Mo0?Cd10Mo0.15?Cd10Mo0.30?Cd10Mo0.45 共5个处理,研究了不同施Mo量处理对Cd污染土壤上小麦产量、Cd含量 .Mo 含量,以及土壤有效态Cd、有效态 Mo 、不同Cd形态和土壤酶活性变化的影响。结果表明:土壤Cd污染使小麦产量降低了 19.86% ,不同施Mo量处理均增加了土壤有效态Mo含量,以及小麦根、茎叶、颖壳、籽粒中的Mo含量;不同施Mo量处理均增加了小麦产量,增幅为19.86%~48.53% 。土壤Cd污染使土壤有效态Cd含量以及小麦根、茎叶、颖壳、籽粒中Cd含量大幅增加,相较于 Cd10Mo0 处理,不同施Mo量处理均能降低土壤有效态Cd的含量,其中 Cd10Mo0.30 处理效果最佳,土壤有效态Cd含量减少了 10.39% 。在土壤Cd形态方面,不同施Mo量处理在一定程度上促进土壤可交换态Cd转化为碳酸盐结合态 Cd Cd10Mo0.30 处理降低小麦籽粒Cd含量的效果最佳,较Cd10M00 处理降低了 22.05% 。 Cd10Mo0.45 处理抑制Cd由颖壳向籽粒的转运效果最佳,较 Cd10Mo0 处理降低了 22.26% Cd10Mo0.30 处理降低小麦籽粒中Cd富集系数的效果最佳,较 Cd10Mo0 处理降低了 22.97% 。此外,施 Mo 还能增加土壤过氧化氢酶、碱性磷酸酶、蔗糖酶、腺酶活性,其中 Cd10Mo0.30 处理增加效果最好,较 Cd10Mo0 处理分别增加了 11.15%.17.00%.13.48%.27.70% 。研究表明,施 Mo 通过改变土壤Cd形态,降低土壤有效态Cd含量,增加土壤酶活性,减少小麦籽粒对Cd的吸收和转运,进而降低小麦籽粒中Cd含量。
摘要:为探究叶面阻控剂施用对镉(Cd)污染农田小麦生产的影响,实现小麦安全生产,通过大田试验,分别在小麦拔节初期(T1)抽穗初期(T2)、灌浆初期(T3)拔节初期 + 抽穗初期(T4)、抽穗初期 + 灌浆初期(T5)和拔节初期 + 抽穗初期 + 灌浆初期(T6)喷施2种不同叶面阻控剂[分别含锌 (0.4g?L-1) 、腐植酸 (30g?L-1) 、水溶硅( 0.1g?L-1) 和可溶性硅盐 (0.1g?L-1) 钾盐 (15.0% ],以不喷施叶面阻控剂作为对照(CK),以期筛选出适宜的阻控剂产品和最佳喷施时期。结果表明:相较于CK,喷施含锌、腐植酸和水溶性硅的叶面阻控剂 (3L?hm-2) 后小麦平均增产 6.1%~47.2% ,增产比例由高到低依次为 T6>T1>T4>T2>T5>T3 ,其中,T6处理小麦产量显著高于CK、T2、T3和T5处理;喷施含水溶硅和钾盐的叶面阻控剂 (3L?hm-2 较CK处理,小麦平均增产 5.4%~19.9% ,但各处理间无显著差异。相较于CK,T4、T5和T6处理下喷施含锌、腐植酸和水溶性硅的叶面阻控剂可通过增加小麦对土壤锌的吸收、降低小麦籽粒Cd富集系数和地上部转运系数,进而显著减少籽粒Cd含量至 0.08~0.12mg?kg-1 ,降Cd比例为 83.3%~89.5% ;T4和T6处理小麦籽粒Cd含量为 0.1mg?kg-1 ,达到国家小麦安全生产标准。喷施2种叶面阻控剂对土壤pH值、全Cd和有效态Cd含量影响较小。研究表明,在小麦拔节初期、抽穗初期和灌浆初期联合喷施含锌、腐植酸和水溶性硅的叶面阻控剂能有效实现小麦安全生产和增产增收。
摘要:为了深入研究螯合剂-丛枝菌根真菌(Arbuscular mycorhizalfungi,AMF)-植物复合体系对铀污染土壤的修复效应,本研究基于植物间作体系,探讨了柠檬酸(Citricacid,CA)和摩西球囊霉(Glomusmosseae, Gm 联合作用对铀污染土壤根际环境的影响。结果表明:在植物间作体系中,间作黑麦草对铀污染土壤的修复效果更为显著,其生物量增加 57.70% ,根际土壤中的铀含量降低10.31% 。在摩西球囊霉与柠檬酸联合处理的实验中,与对照组相比,联合处理显著增加了根际土壤中有机酸的种类与含量,其中草酸、乳酸和乙酸含量分别提升 10.52%,161.38% 和 28.54% 。此外,联合处理组中的根际土壤惰性铀的含量降低了约10个百分点,这说明柠檬酸与摩西球囊霉的协同作用能够有效促进惰性铀向有机质结合态、无定型铁锰氧化物结合态等潜在活性态铀的转化。同时,联合修复导致根际土壤中Si—O、C—N、C—O等负电基团的数量减少,从而降低了根际土壤对铀酰离子的吸附能力。
摘要:为了明确土壤含水量和冻融次数对土壤Cd吸附能力和吸附形态的影响,本试验以黑土为研究对象,测定了不同土壤含水量和不同冻融次数条件下,土壤对Cd的吸附过程、吸附能力、吸附Cd的赋存形态及生物活性。结果表明:黑土对Cd的吸附能力随着冻融次数的增加先增加后降低,冻融3次时黑土对Cd的吸附能力最强。当土壤含水量为田间持水量的 70% 时,土壤Cd的吸附能力对冻融处理最敏感,含水率过低或过高均会降低冻融作用对黑土Cd吸附能力的影响。不同冻融处理下黑土吸附Cd的形态主要是交换态,其含量高于 58% ,吸附过程主要受物理吸附作用控制。冻融过程对不同吸附形态Cd的影响不同。随着冻融次数的增加,交换态Cd含量变化不明显,碳酸盐结合态、铁锰氧化物结合态和有机结合态Cd含量呈波动性降低的趋势,残渣态Cd含量则逐渐升高。除冻融次数对交换态Cd和土壤含水量对碳酸盐结合态Cd外,土壤含水量和冻融次数对不同吸附形态Cd含量的影响均达到显著水平。黑土吸附Cd的生物活性较强,但冻融作用对土壤吸附Cd的生物活性影响较弱,仅土壤含水量对吸附Cd迁移能力的影响达到显著水平。研究表明,少次冻融交替可提高土壤Cd的吸附能力,而适当的土壤含水量能够增强土壤Cd吸附能力对冻融作用的响应。冻融作用影响吸附Cd的赋存形态,进而影响其生物活性。
摘要:为探究工矿业周边农田土壤重金属镉(Cd)和铅(Pb)的含量及其生物有效性,本研究以粤北典型工矿业周边农田小区域为研究对象,分析表层土壤重金属Cd和Pb的总量及其赋存形态,研究其空间分布特征以及生物有效性。结果表明:研究区Cd和Pb元素的平均含量均超过广东省韶关市的土壤背景值,样点中Cd元素超过相应风险管制值的占比为 25% ,Pb元素均未超过相应的风险管制值。两种元素空间变异性均较大,呈明显富集倾向,但高值区和低值区分布差异明显,两种元素的污染来源不同。Cd元素的碳酸盐结合态占据绝对优势,Pb元素的铁锰氧化物结合态占据绝对优势,两元素残渣态所占比例均较小。Cd和Pb元素各赋存形态与总量间均呈现极显著的相关性( P<0.01) 。Cd元素的风险编码指数(RAC值)空间分布表现为以极高风险水平为主, Pb 元素的RAC值空间分布表现为以轻微风险水平为主;两元素次生相与原生相比值(RSP值)均为高度污染,高度污染占比 100% 。Cd的生物有效性较高,存在较高的重度污染风险和环境风险。样点Pb元素虽均未超过风险管制值,但其生物有效性对农田生态环境仍具有潜在威胁性。研究表明,对研究区Cd和Pb元素污染应采取相应的防控措施,在该区污染土壤治理与修复的过程中应注意碳酸盐结合态和铁锰氧化物结合态的释放与平衡。
摘要:为了准确评价强异质性区域农田重金属的潜在生态风险,本研究选取河北省张家口市宣化区工矿周边农田土壤为研究对象,基于土壤中 Cd,Cr,Cu,Hg,Ni,Pb 和 Zn 元素含量数据,分别采用传统确定性方法(TCM)中的Hakanson生态风险模型,以及该方法与蒙特卡洛-纠偏模型(MCS-COR)、蒙特卡洛-三角模糊数模型(MCS-TFN)的耦合模型对该区域重金属潜在生态风险进行评价,并综合结果不确定性、模型稳定性分析模型结果差异,确定最优评价方法。与TCM相比,MCS-COR和MCS-TFN模型均能有效降低评价结果的不确定性,不确定性分别从 281% 降至 209% 和 118% ,其中MCS-COR模型在模型稳定性上表现更佳,训练集和验证集的相对偏差小于 20% 。研究表明,MCS-COR更适合偏正态分布数据的风险评价。该区域生态风险综合等级为中等风险,其中Cd潜在生态风险最为突出,主要分布情况为中等风险占 46.03% 、较强风险占 24.98% ;其次是 Hg ,为中等风险 29.87% 和较强风险 (21.95% );而 Pb,Cu,Zn 的生态风险较小, 99.99% 为轻微风险。
摘要:为探究宁波市某工业区土壤重金属污染及人体健康风险情况,本研究以浙江省宁波市某工业区表层土壤为对象,系统分析了 Cr,Cu,As,Cd,Pb,Ni,Sb,Hg 等8种重金属的污染水平及其空间分布格局,采用地累积指数法评估其污染风险,并运用正定矩阵因子分解模型(PMF)解析污染来源,通过健康风险评价模型量化重金属对人体的暴露风险。结果表明, Cu,As,Cd 的平均含量达到地区土壤背景值的 2.1,1.9,1.8 倍。土壤 Cr,Cu,Ni,Cd,As,Pb 之间的相关系数介于 0.24~0.59(P<0.01) ,6种元素之间均存在正相关关系, Cd,As,Cu3 种重金属元素之间存在显著相关性。地累积指数评价结果显示,各元素在研究区表层土壤中均出现不同程度的累积,其中Pb出现了中度污染情况, Hg 和Cr元素在该研究区域内整体呈现出无污染或轻微污染,并未出现明显富集现象。源解析结果表明, Ni,Cr 主要来源于自然源,Pb主要来源于交通排放源, Cu,Cd,As 主要来源于农业源,Sb主要来源于工业制造源, Hg 主要来源于工业及煤炭燃烧复合源。经口摄入是人群主要健康风险途径,且儿童的健康风险大于成人;不同年龄段人群经多种途径暴露于土壤中重金属的非致癌和致癌健康风险大部分处于可接受水平,但 Cr,Cu,As,Pb,Ni 存在一定的健康风险,因此这几种重金属的来源和污染情况必须引起关注。
摘要:为探究肥料协同旱稻种植对赤泥矿泥土壤化处置成土的土壤重构与生态重塑,在大田设置4种不同施肥量的赤泥矿泥土壤化处置成土进行旱稻种植。结果表明:各施肥处理旱稻农艺性状与正常大田相近,平均产量达 8 282.7kg?hm-2 ;肥料-旱稻协同作用能有效改善土壤理化性质,其中土壤平均含盐量降低 861.62μS?cm-1 ,孔隙度提升8.88个百分点,土壤铵态氮、有效磷及速效钾养分含量分别提升 48.9%.71.2%.6.13% ,达到农耕的适宜水平;土壤pH、EC、有机质及铵态氮对微生物群落结构和根际代谢物有显著影响,各施肥处理土壤微生态环境有明显差异,其中施用复合肥 600kg?hm-2+ 生物有机肥 1 500kg?hm-2 处理土壤的旱稻农艺性状最好,大粒径( >2mm 土壤团聚体含量最高且稳定性较好,土壤中华单细胞菌属、诺尔氏菌属等相对丰度占比较大,其分泌的植物激素、有机酸和萜类物质的高表达量,对赤泥矿泥土壤演化、微生态重构及作物生长有积极促进作用。
摘要:为探明土壤肥力及施氮水平对有机氮组分及土壤供氮能力的影响,优化氮肥施用,提高氮素利用效率,本研究在26a塿土长期肥料定位试验处理土壤上设置氮梯度微区试验,探究5个不同肥力土壤(F1\~F5)及5个施氮水平对冬小麦产量、地上部氮移出量、土壤有机氮组分及表观氮素矿化量的影响,并探讨了表观氮素矿化量与有机氮组分的关系。结果表明:低肥力土壤上小麦产量和地上部氮移出量随施氮量增加而显著增加,而高肥力土壤上增施氮肥对小麦产量和地上部氮移出量均没有显著影响。土壤有机氮以酸解氮为主,土壤肥力水平的提升增加了土壤酸解氮( TNex) 含量 (691.07~901.81mg?kg-1) ,但降低了其占全氮比例0 61.24%~78.57% ),提高了非酸解氮(NHH)含量 (221.46~587.38mg?kg-1) 及其占全氮比例 (21.43%~38.76% )。随土壤肥力水平提高酸解未知氮(HUN)含量显著降低,其他各酸解有机氮组分含量显著提高,其中以酸解氨基酸态氮(AAN)增幅最大。除AAN占TNex比例随土壤肥力提升而提高外,酸解氨态氮(ANN)和HUN占TNex的比例均随土壤肥力提升而降低。低肥力土壤(F1、F2)有机氮组分以HUN为主,占比为 33.92%~40.39% ,而高肥力土壤(F3、F4和F5)有机氮组分以AAN为主,占比为 25.72%~35.54% 。随机森林模型预测各有机氮组分对氮矿化量变量重要性的结果表明,AAN对表观氮素矿化量的相对重要性最高,后者随前者增加而显著增加;其次为 TNex( 。研究表明,不同肥力土壤有机氮组分及其比例存在显著差异,短期施氮对有机氮组分没有显著影响;土壤肥力水平改变土壤氮素供应能力主要与AAN有关。当土壤AAN含量分别为 494mg?kg-1 和 439mg?kg-1 时,小麦籽粒产量和地上部氮移出量最高。
摘要:为探明淋溶作用对不同利用方式土壤团聚体磷组分淋失的影响,选取云南赤水河上游龙井小流域的坡耕地、灌木林地经果林地和人工林地土壤为研究对象,开展室内土柱淋溶试验,分析不同利用方式下土壤团聚体磷组分淋失特征的差异和影响因素,并估算全流域磷年均淋失量。结果表明:不同利用方式土壤以大团聚体( ?>2mm 为主,占比均 552.06% ,全磷(TP)含量呈经果林地( 1.98g?kg-1) >灌木林地( 1.59g?kg-1)? >坡耕地 (1.40g?kg-1) >人工林地( 0.62g?kg-1 趋势,前三种利用方式受施肥影响,以有机结合态磷(OP)为主(占比 46.19%~65.49% ),人工林地则以钙结合态磷为主(占比 73.11%~86.14% ;溶解态磷(SP)是淋滤液中磷的主要形态,坡耕地土壤TP、SP及两者占比显著高于其他利用方式( P<0.05) ,均值分别为 0.10,0.09mg?L-1 和 90.00% ,累积淋失量0 0.1853mg )是其他利用方式的1.79\~1.89倍;人工林地土壤表现为负淋失,磷平均淋失率达 -14.23% ,团聚体OP升高为主要贡献,其余利用方式土壤磷淋失率范围为 50.35%~61.64% ,团聚体OP和铁铝结合态磷(Fe/AI-P)为主要淋失形态;团聚体TP和Fe/Al-P含量、土壤结构稳定性 ??pH 及SOM的利用方式差异是影响淋溶作用响应的关键因素,赤水河流域年均磷淋失量达 19.13kg?hm-2 坡耕地贡献最大( 73.35% ),人工林地有阻控效应( -2.69% )。研究表明,施肥活动降低土壤团聚体稳定性是喀斯特地区磷淋失的诱因,退耕还林及植树造林可减少或阻控磷淋失。
摘要:为探究湿地植物在低C/N废水中对人工湿地脱氮效果的强化作用及对温室气体排放效果的调控,以优化人工湿地的脱氮效能与温室气体减排能力,本试验以人工湿地小试系统为研究对象,研究了低C/N进水条件下,种植湿地植物(风车草)处理组与未种植物的对照组对人工湿地的脱氮效率及体系的温室气体(Greenhousegases,GHGs)排放规律。结果表明:湿地植物的种植有助于提高人工湿地脱氮效率,随着进水C/N的降低,人工湿地对总氮(TN)、 .NO3--N 的去除率下降。人工湿地系统对 NH4+–N 的去除效果在不同C/N进水条件下无明显差异。当进水C/N为6时,人工湿地的脱氮效果最佳,对 TNNO3--N,NH4+-N 的去除率分别为 92.82%.66.24% 、95.00% ,对化学需氧量的去除率达 73.61% 。此外,人工湿地中 N2O 的排放通量随进水C/N的提高而增加,而CH4的排放通量则呈现下降的趋势,且湿地植物的种植降低了 N2O 和 CH4 的排放通量。研究表明,湿地植物的种植提高了人工湿地的脱氮效率,同时降低了人工湿地的温室气体排放量,表明湿地植物可优化脱氮效能与调控温室气体排放,实现低C/N污水的高效处理。
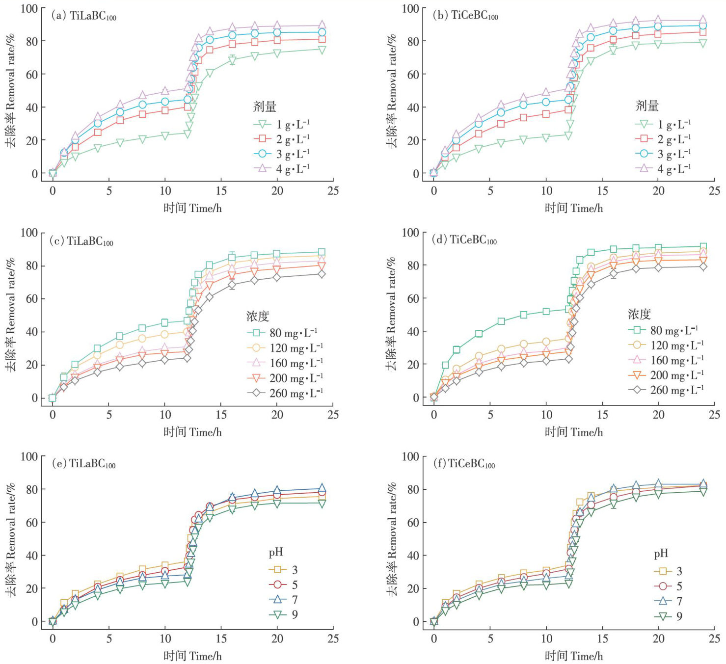
摘要:通过负载-二次热解的方法制备稀土元素镧/铈与钛共负载的复合改性生物炭材料(TiLaBC和TiCeBC),并将其应用于溶液中头孢氨苄(CEP)的去除。结果表明:镧和铈的负载显著增加了生物炭对CEP的吸附,钛负载量的增加显著增强了其对CEP的紫外光催化降解能力。在 1g?L-1 的用量下,钛负载量为 100mg?g-1 的钛-镧和钛-铈复合改性生物炭( IiLaBC100 和 TiCeBC100 对200mg?L-1 CEP的去除率分别为 80.3% 和 83.1% 。BET比表面积表征结果表明, TiLaBC100 和 TiCeBC100 的比表面积分别为 261m2?g-1 和186m2?g-1 ,平均孔径为 4.92nm 和 4.88nm 。X射线光电子能谱表征结果表明, TiCeBC100 表面铈以两种价态存在。两者对CEP的降解与紫外光照条件下活性氧自由基以及空穴的产生有关。CEP的初始浓度、改性生物炭用量、初始pH对吸附过程的影响大于对降解过程的影响,且初始pH对总去除效率的影响相对较小。磷的存在抑制TiLaBCioo和TiCeBC 100 的吸附过程,但并未使光反应过程的去除效率降低。TiLaBC1oo和 TiCeBC100 在复杂水质条件下对CEP的去除率降低,具备一定的抗干扰能力。TiLaBC10o和TiCeBC100 具备良好的循环利用性能,对植物幼苗几乎无毒害作用,具备较高的经济性和环境兼容性。研究表明,本实验制备的复合改性生物炭材料是一种具备吸附和光解双位点的具有经济性和环境兼容性的CEP的高效处理剂。
摘要:为研究山西省典型化工园区地下水水质、重金属污染来源及对人体健康的风险,对研究区内39个采样点中的9种重金属元素 Fe,Mn,Cu,Zn,Al,Hg,Cd,Cr6+,Pb 进行检测,采用描述统计分析、模糊综合评价法确定地下水水质,通过绝对主成分分析-多元线性回归的受体模型(APCS-MLR)解析重金属的来源,并运用健康风险评价模型对地下水中重金属的风险进行评估。结果表明:研究区地下水中重金属平均浓度由大到小排序为 Mn>Al>Fe>Cu>Zn>Cr6+>Pb>Hg>Cd ,其中 Mn 、Al浓度超过《地下水质量标准》GB/T14848—2017)中的IV类标准,点位超标率分别为 12.82%.2.56% ,其余重金属元素浓度均未超过V类标准。模糊综合评价显示39个采样点中超过V类地下水质量标准的点位占 15.38% 。地下水中重金属的主要来源有4个,分别是地质背景 28.55% )、农业活动23.20% )、工业活动( 21.77% 和交通运输( 26.48% )。饮水摄入是成人和儿童的主要暴露途径。重金属对人体产生的非致癌风险均在可接受的范围内,其中 Mn 对成人和儿童的非致癌风险较高; Cr6+ 对成人和儿童产生的平均致癌风险在可接受的范围内,可能存在致癌风险。研究表明,为了保障化工园区及周边地下水环境安全,需加强对地下水中重金属污染的来源及风险管控。
摘要:为探讨亚临界水解菌菇渣制备腐殖质的最佳工艺,本研究以菌菇渣为原料,通过酸溶剂与碱溶剂对菌菇渣进行亚临界水解处理,利用单因素实验分别考察了时间、温度、pH值和料液比对水解率的影响,并结合正交实验进一步优化了水解的工艺条件。采用紫外光谱、三维荧光光谱和傅里叶红外光谱等手段对水解产物的结构进行表征。实验结果表明,最优水解工艺条件为温度 260qC 、时间 120min.pH9 、料液比1:12,此时菌菇渣的水解率可达 63.47% 。水解产物的表征结果显示,经过亚临界水解后,菌菇渣中的多糖、蛋白质和木质素被协同降解生成单糖、小分子及芳香族化合物,提高了菌菇渣的腐殖化程度。
摘要:针对玉米/棉花秸秆等农业固体废弃物与市政污泥协同处置的技术需求,本研究创新性地采用养殖沼液作为反应介质,开展农业秸秆-市政污泥体系水热炭化及其产物的环境效应研究。通过土壤培养试验系统评价棉花秸秆水热炭(MHC)、玉米水热炭(YHC)、污泥水热炭(SHC)、污泥-棉花复合炭(SMHC)和污泥-玉米复合炭(SYHC)对土壤的改良效果;并采用萌发袋水培法探究棉花秸秆炭化液(MAP)、玉米秸秆炭化液(YAP)、市政污泥炭化液(SAP)、污泥-棉花炭化液(SMAP)、污泥-玉米炭化液(SYAP)对大豆幼苗生理生长的影响。结果表明:水热炭可显著改善土壤结构,各处理组土壤含水率相较于未添加水热炭的空白对照(CK)提升 16.2%~77.5% ,pH值降低0.40\~0.98,盐分含量下降 55.7%~59.7% 。水热炭可有效提升土壤养分水平,SHC处理全氮、全磷含量分别较CK增加 96.8% 和 56.5% ,YHC处理全钾含量提高 45.7% 。处理组碱解氮、速效磷和速效钾含量较CK分别提高15.4%-61.1%.26.6%-127.5% 和 8.6%~39.2% 。冗余分析结果表明,土壤碱解氮和速效磷是影响植物生长的主要因素。炭化液剂量依赖性地促进大豆幼苗生长,使株高、叶面积、茎粗和主根长分别提升 1.3%~65.3%,11.8%~41.4%,0.9%~20.3% 和 5.5%~27.4% 值得注意的是,YAP和SYAP处理使茎秆显著增粗,而SAP处理抑制根系伸长。研究表明,水热炭通过改善土壤性质、增强养分和保水能力促进大豆幼苗生长,而水热炭化液虽有助于根系发育,但其含有的高硝态氮和酚类物质可能抑制幼苗生长。
摘要:为探究双氰胺(DCD)硝化抑制剂配施铜(Cu)对土壤硝化作用及 N2O 排放的影响,本研究采用2种不同有机质水平土壤,通过室内培养试验,分别设置尿素(U)、尿素配施DCD(U_DCD)、尿素配施DCD并添加 10mg?kg-1Cu(U-DCD-Cul) 和 200mg?kg-1 处理。结果表明:与U_DCD处理相比,高、低有机质土壤U_DCD_Cu1处理 N3--N 含量分别显著降低 30.79% 和提高 5.37%(P<0.05) 。相比于U_DCD处理,U_DCD_Cu2处理土壤 N2O 排放量显著提高 25.48% (高有机质土壤)和 11.00% (低有机质土壤)。DCD与Cu的协同效应受土壤有机质含量和Cu含量的调节:低含量Cu在高有机质土壤中增强了DCD的抑制效果,在低有机质土壤中则表现为削弱作用,两种Cu含量均降低了DCD抑制 N2O 排放的效果。研究揭示了在不同有机质水平土壤下外源添加 Cu 对DCD调控氮素流失的作用机制,为减少土壤 N2O 排放提供理论依据。