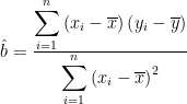
摘要:达到一定准确率的产能预测能有效帮助生鲜零售企业实现降本增效。针对实际业务,需先保证模型可读性,以便业务策略落地有据可依,再提高算法的预测准确率,以达到预测目的。文章提出了一种结合Prophet和二次移动平均的预测模型,旨在通过 Prophet 算法捕捉趋势项、季节性及节假日效应,处理二次移动平均模型存在的不足,从而得到产能预测值。实验结果表明,相较于基准模型,该模型既有利于业务实施落地,又具有较好的准确性,可为企业的产能规划提供决策支持。
摘要:在双碳目标(碳达峰与碳中和)背景下,港航物流作为高碳排放行业,亟需优化以实现可持续发展。数智赋能(数字化和智能技术)通过数字孪生、AI和大数据等手段,为港航物流注入新活力,提升了效率并减少了碳足迹。文章提出一种基于数字孪生技术和机器学习算法的港航物流优化模型,旨在结合混合整数规划(MIP)和深度学习预测,最小化碳排放。基于中国典型港口和IPCC标准,模型使用模拟数据和真实港口场景验证进行优化,碳排放减少了 15% 。扩展分析探讨模型在需求波动和政策场景下的鲁棒性,进而为全球港航低碳转型提供借鉴。
摘要:生鲜多品种联合补货与配送(JRD)及其RFID投资决策模型[1是一个NP难题。通过分析模型特征,文章提出改进人工蜂群(IABC)算法对模型进行求解,并采用大量数值算例验证算法的实用性,实验结果表明,IABC在收敛速度和求解质量方面均表现更好。研究成果扩展了人工蜂群算法的应用范围,使其能够处理更为复杂且实际的供应链优化问题,还为生鲜企业大规模投资RFID技术和运用JRD 策略提供了有益参考。
摘要:“双碳”目标是国家推进可持续发展战略的重要部署,为物流企业绿色化发展指明了方向。绿色物流作为物流产业高质量发展的必经之路,在发展理念、基础设施建设、政策法规、专业化人才等方面存在诸多短板。物流企业要积极响应“双碳”目标,将绿色理念贯穿物流体系的各个环节,转变观念担起环保职责。政府要加强环境规制,鼓励绿色技术创新应用,健全环境监管机制,重视智能化物流基础设施建设,同时完善政策法规体系,为绿色物流提供保障。政府和物流企业要协同合作,加强人才培养,发挥科技赋能优势。
摘要:农产品在国民经济中占有重要地位。其中,粮油是重要的民生必需品。目前,国内粮油主要通过经销商渠道流通。文章在对100家全国经销商展开实地调研的基础上,探究粮油经销商物流体系,分析经销商物流现状,总结其面临的问题和困境,并提出在数字化物流背景下的优化发展策略,以期为粮油经销商发展物流体系提供参考,实现整体物流降本增效,合理优化粮油市场价格,进一步提升中国粮油参与国际贸易的的竞争力。
摘要:唐山市是我国重要的化工产业基地,其化工行业在地方经济中占据核心地位,但同时也面临着产业附加值低、创新能力弱、物流成本高及供应链协同效率低下等问题。文章以“三链”协同与物流管理优化为切入点,深入剖析其内在互动关系,揭示“三链”协同对物流管理优化的推动作用,以及物流管理优化对“三链”协同的支撑作用。在此基础上,构建“三链”协同与物流管理优化的一体化战略,提出推动“三链”协同发展和物流管理优化的具体措施,以期为唐山市化工行业高质量发展提供理论支持与实践指导。
摘要:物流业制造业融合发展是促进产业转型升级的重要路径,也是形成新质生产力的重要来源。江苏作为制造强省,产业结构亟待优化。在相关政策引导下,江苏物流业制造业融合试点尚处于起步阶段,如何让物流业深度嵌入制造业供应链是个现实问题。文章基于新质生产力理论,通过综合耦合协调模型与熵值赋权法,构建江苏物流业制造业两业融合测度模型,并结合江苏物流业制造业的特征及相关统计年鉴数据,设计江苏物流业制造业融合指标体系,借助熵值耦合协调模型测度江苏省物流业制造业的融合程度,并评判融合水平。研究数据显示,2013—2022年,江苏省的制造业和物流业的耦合发展比较平稳。其中,耦合协调水平经历了从初级协调到良好协调到优质协调再到良好协调的发展过程。由此,文章提出相应建议:打破壁垒,加快建设统一大市场;数物融合,形成两业融合新质生产力;精益合作,加强两业融合示范引领。
摘要:文章聚焦商业企业卷烟物流配送中心的存量物流资源,深入探讨A市卷烟物流仓储货位潮汐化管理模式。基于卷烟物流仓储品种繁多、季节性需求波动等特点,以及空间利用率不均、作业效率低下等现有管理模式的缺陷,文章阐述了潮汐化管理的概念、优势、原理及实施的必要性,同时详细介绍了卷烟物流仓储货位潮汐化管理的实施流程,并结合实际案例进行效果评估,验证了潮汐化管理模式的成效,进而对未来发展趋势和可能面临的挑战进行前瞻性思考。
摘要:随着全球对气候变化和环境保护关注度的不断提高,低碳经济已成为世界经济发展的必然趋势。物流行业作为国民经济的重要组成部分,其在运营过程中会消耗大量能源并产生诸多环境问题。为满足低碳经济发展需求,物流企业需要不断探寻绿色物流管理策略,并根据企业货物运输特点及发展规划,选择合适的运输路线、仓储方式、包装策略,推动物流企业的可持续化发展。文章阐述了绿色物流管理的主要内容,并对低碳经济背景下绿色物流管理面临的挑战及实践策略展开分析,以期给予物流管理人员一定的参考。
摘要:针对传统AGV系统在复杂工业场景中通信延迟高、人机协同效率低等问题,文章提出基于边缘计算的AGV设备智能化调度系统的分层架构,构建“人机协同-边缘计算-智能感知”的三位一体模型。模型融合激光雷达、RFID等多源感知数据,结合动态优先级控制策略,实现人机指令与设备控制的实时协同。并设计轻量化MQTT-SN通信协议及边缘缓存机制,解决异构AGV设备调度系统的接口适配问题。实验表明,人机指令响应延迟从 480ms 降至 85ms (降低 82.3% ),多AGV调度冲突率从12次/时减至2次/时(降低 83.3% ),工业物流的自动化与安全性水平显著提升。
摘要:针对物流信息实时监控中存在的异构数据融合困难、定位精度不足及系统响应延迟等问题,文章提出基于物联网技术的分层式监控管理架构。通过构建感知层多源传感网络、边缘智能处理模块与云端协同管理平台的三级体系,形成端到端的信息处理链路。算法层面,开发改进型联邦定位算法,解决复杂环境下的信号漂移问题;设计多模态数据融合模型,实现环境参数与空间信息的时空关联分析。多场景技术验证表明,本系统在定位稳定性、监测灵敏度和系统可靠性等关键指标上较传统方案具有显著提升。
摘要:随着出版行业的数字化转型,出版物流面临更高效、灵活的运输需求。多式联运作为一种融合多种运输方式的物流模式,被广泛应用于出版物流,以应对电子商务发展、消费者对配送时效和服务质量的高要求。文章首先分析了出版物流多式联运模式的特点,其次从联运模式普及率偏低、信息系统建设滞后和标准化程度不足三个方面探讨了出版物流多式联运模式的应用现状,最后提出了出版物流多式联运模式的优化路径,以期为出版物流多式联运模式的应用提供帮助。
摘要:城市物流配送网络在快速发展过程中出现了结构不合理与调度效率低下等问题,亟须开展系统性优化研究。文章基于多层次配送网络优化模型,提出配送中心选址方法与路径优化方案,并构建智能调度策略,包括实时任务分配、车辆协同调度与应急调度机制。实践验证表明,优化方案提高了资源利用率,降低了运营成本。研究成果对于提升城市物流配送效率与完善配送网络结构具有重要的指导意义。随着城市化与电商的深度渗透,优化后的网络结构能适应市场变化,并通过算法驱动的配送规划与调度,为构建高效的现代物流体系提供科学支撑。
摘要:随着全球对环境保护和可持续发展重视程度的不断提高,绿色物流已成为现代物流发展的必然趋势。在绿色物流体系下,物流企业面临新的机遇和挑战,文章分析绿色物流体系的内涵与发展现状,探讨物流企业在高质量发展转型过程中所面临的问题,包括绿色技术应用不足、运营成本增加、人才短缺、绿色物流标准不完善以及市场激励机制缺乏等。针对这些问题,提出相应对策,如加大绿色技术研发与应用投入、优化运营管理以降低成本、加强人才培养与引进、积极参与绿色物流标准的制定以及完善市场激励机制等,旨在为物流企业在绿色物流体系下实现高质量发展提供理论参考和实践指导。
摘要:随着智慧物流的快速发展,5G通信技术与物联网技术的深度融合已成为推动行业数字化转型的核心驱动力。文章聚焦5G通信技术与物联网技术在智慧物流中的协同应用,系统分析了二者的技术特性及其在智能仓储、运输监控、末端配送等场景中的应用价值,揭示了技术融合过程中的技术异构性、成本压力、管理协同与安全风险等核心挑战。基于跨学科视角,提出了涵盖边缘计算优化、资源共享模式、标准化体系建设及零信任安全框架的系统性应对策略,旨在构建技术适配、经济可行、管理规范的智慧物流生态体系。
摘要:探究农村电商物流与农村经济的协同关系,对于农村经济高质量发展和乡村振兴具有重要意义。文章以2014—2021年全国范围内30个省份为研究对象,通过建立农村电商物流与农村经济的指标体系,结合耦合协调度模型和地理探测器模型,评价耦合协调的动态演化特征及其驱动因子。主要结论如下:耦合协调度逐年递增,总体上呈现“东部 > 中部 > 东北 > 西部”的空间分布特点;投资强度、技术创新和消费水平是影响两系统协调发展的主要驱动因子。据此提出发展新质生产力以突破农村电商物流瓶颈;利用区位优势促进协调发展;加速主要驱动因子发展水平等建议。
摘要:物流业是经济发展的重要支撑,随着数字经济时代的到来,物流业也在通过技术渗透逐步向绿色化、数字化和智能化转型,作为实体经济的关键衔接网络,物流业的这一发展趋势必然会对经济发展产生直接影响。文章探讨了数字经济背景下物流业与经济高质量协同发展的内在逻辑,指出了物流业对经济发展的促进作用,进而分析了当前物流业与经济协同发展遇到的障碍,并提出了针对性优化策略,旨在促进物流业的数字化、绿色化转型,从而为经济高质量发展提供有力支持。
摘要:文章深入剖析了当前我国物流数智化转型所面临的四大难题。针对数智化技术集成与融合难度大的问题,提出了异构技术柔性集成、技术开源与协作创新、渐进式系统融合等方法;针对物流全链路透明度低的问题,提出了建立可信高效的数据交换体系、统一数据标准、完善数据治理体系等手段;针对数智化发展水平结构性失衡问题,提出了加大对中小物流企业的数智化政策支持和资金投入、强化跨环节协同、按行业分类施策等措施;针对人才供需错配与技能迭代滞后的难题,提出从课程重构、分层培训、校企共育三端共同发力,构建与物流数智化转型需求相匹配的人才培养体系。研究结果可以为我国物流产业的数智化转型提供参考。
摘要:自20世纪60年代以来,港口模式经历了四个演变阶段,从第一代的海陆交汇点,到第二代的工业中心,再到第三代的综合物流中心和第四代的资源配置中心,港口在促进国家和地区的经济发展和科技进步方面,发挥着越来越大的作用。鉴于我国各地区的港口规模和吞吐量存在较大差异,选择合适的港口物流模式对于港口的发展至关重要。近年来,随着我国港口运作从单纯的装卸、运输、仓储等操作模式,逐渐向着更先进的现代物流模式转型,国家和地区针对不同港口情况提出了针对性的建设方案。
摘要:在智能制造背景下,AGV在优化物料搬运效率、提升生产柔性及减少人力依赖等方面展现出显著优势,已成为生产型企业实现物流自动化的重要组成部分。由于AGV类型繁多且运行环境多样,企业在部署时如何根据企业实际做出科学选择,成为当前转型实践的重要挑战。文章从4类典型生产型企业出发,分析了AGV在经济性、技术性能、匹配性、安全与可靠性等方面的因素,构建了基于层次分析法的AGV选型决策模型。该模型以“选择最优AGV方案”为目标,设定4项一级准则并细化为13项子准则,形成了结构合理的四层层级框架,并且以实际生产型企业为案例,通过专家评分法对各层因素进行定量赋权,并验证模型的可行性与适用性,为企业智能物流升级提供可量化的决策支持路径。
摘要:在全球产业链重建以及数字化转型的大背景下,物流产业链与跨境电商融合发展,已成为推动经济高质量发展的关键路径。文章对物流产业链和跨境电商融合的相关情况展开研究,包括当前状况、面临的挑战以及应对策略,研究结果显示,产业转型可以借助数字化、智能化以及绿色化手段,促使物流产业链升级,为跨境电商提供有效支持,但目前仍存在物流成本较高、政策协同效果不佳、国际物流网络不够完善等一系列问题。依靠优化政策环境、强化基础设施建设、推进技术创新以及加深国际合作等方式,可推动二者深度融合,实现产业链协同升级以及价值提升。
摘要:研究基于扩展的SERVQUAL模型和计划行为理论,探究物流服务质量对消费者购买决策的作用机制。通过构建包含技术性维度的六要素物流质量框架,将消费者购买决策解构为搜索、下单、溢价支付和复购四阶段链式反应。采用分层抽样法收集电商消费者问卷数据,运用结构方程模型验证物流质量通过信任与感知价值的双中介路径对决策的传导效应,并分析商品类型与消费者特征的调节作用。研究发现,技术性维度在生鲜与奢侈品消费场景中具有显著驱动力;物流响应性通过信任中介正向影响复购意愿;可靠性则通过价值感知推动支付溢价行为。
摘要:文章选取了黄河流域9个省区2011—2020年的面板数据作为研究对象,从影响物流业发展的经济环境、需求因素、支持因素这3个角度出发,构建了衡量物流业协调发展的指标体系。实验运用熵值法、耦合协调度模型量化了黄河流域各省区的物流业协调发展水平,并得到以下结论:2011—2020年,黄河流域9个省区的物流业耦合协调发展水平逐年上升,但水平偏低;各省区间物流业协调发展差距正在逐渐扩大,且东部沿海省份物流业的耦合协调度高于西部省区。
摘要:直播助农虽然为农产品拓宽了销路,但由于农产品易腐,农村物流资源分散、成本高、基础设施薄弱,传统配送路径不合理容易导致农产品品质损耗,制约助农效果,共同配送通过整合资源可有效降本增效、减少碳排放。文章从直播助农、共同配送以及路径优化三个方面概括国内外学者的相关研究及进展,总结现有研究存在的缺口,以期丰富农产品物流共同配送的研究成果,为构建适应直播助农新业态的农村物流配送体系提供方向。
摘要:航空货运作为国家战略性资源,具备货物附加值高、运输效率高等显著特点,在应对应急事件、开展抢险救灾等方面发挥着关键作用。研究运用定量分析、定性研究、数据收集以及典型案例分析等方法,经深入探究,发现航空物流运输业的引进对安阳产生了多种积极影响,不仅推动了当地经济增长,还有效提升了城市形象,并创造了更多就业机会。在当前经济全球化与区域一体化不断深入发展的大背景下,安阳可通过培养和引进专业人才为行业发展提供智力支持,同时加强与周边城市及国内外重要物流节点的合作,致力于打造高效的航空物流网络。
摘要:文章基于西部陆海新通道建设背景,从港口体系、运输成本和网络布局3个维度,探讨平陆运河建设对通道物流网络重构的影响。研究发现,平陆运河建设可重构西部陆海新通道的物流网络格局,强化钦州港枢纽地位,优化运输成本与时效,推动内河港口体系实现功能重构。在此机制下,平陆运河作为连接西江水系与钦江水系的关键工程,将实现从“江海联运”向“河海联运”的转型升级,从而为西部地区深度融入国内国际双循环提供重要支撑。
摘要:旅客吞吐量的有效预测对于机场优化资源分配、提升服务质量有着举足轻重的作用。建立基于趋势外推模型、多元线性回归模型、平移转换的灰色预测模型的组合预测模型,将数据与时间的趋势关系、数据本身的规律、数据与除时间之外其他因素的趋势关系这三种预测原理组合,并采用某机场 2010—2019年的旅客吞吐量作为样本数据,对组合模型进行检验。结果表明,组合模型预测值的误差绝对值均小于 1.72% ,预测精度高,可用于预测未来年份的旅客吞吐量。使用组合预测模型对 2024—2035年的机场旅客吞吐量进行预测,可知该机场旅客吞吐量的增速逐年下降,平均增速为 5.84% ,2035年旅客吞吐量将达到8911.52万人,是2019年旅客吞吐量的1.99倍。研究为机场进行旅客吞吐量预测提供了理论支撑。
摘要:在“双碳”目标背景下,数字经济与绿色物流深度融合对区域发展具有重要意义。文章以长江经济带的11个省(市)为对象,构建双系统评价指标体系;运用熵权法、耦合协调度模型和空间计量模型,分析2013—2022年耦合协调度的时空特征。研究发现,第一,二者的发展呈波动上升,耦合协调度整体提升但区域不平衡明显,协调水平仍偏低;第二,空间上呈“下游> 中游 > 上游”格局,下游以上海为核心,中上游多发展不足;第三,具有正向空间自相关性,Moran'sI在 0.440~0.547 间波动,表明空间依赖性趋于局部极化,伴随东部形成“高—高”集聚区,而西部则为“低—低”集聚区,区域联动性弱。研究为区域协同发展提供了理论支撑。
摘要:在河南省“通道 + 枢纽 + 网络”现代物流体系加速建设的背景下,河南省内各市物流枢纽的经济发展能级差异显著,已成为区域协调与产业升级的制约因素。文章基于物流枢纽基础能级、企业主体活力、经济辐射效应、创新人才支撑4个维度选取11个指标,运用因子分析法提取关键驱动因子,并结合系统聚类法对河南省18个城市进行区域划分。结果显示,物流枢纽的经济发展由物流经济支撑力和物流通道支撑力双因子主导;全省区域可划分为核心引领型、通道优势型、通道潜力型和基础发展型4类,揭示了河南省物流枢纽经济发展的结构性失衡,为优化空间布局、强化产业转化提供了实证依据,并提出了分级施策的建议。
摘要:随着供应链金融的快速发展,物流企业通过存货质押融资、应收账款保理等模式深度嵌入产业链,但业务复杂性与多方参与性导致其风险隐患加剧。文章基于市场风险、信用风险与操作风险这三个维度,系统剖析物流金融风险的成因及其传导机制,揭示了价格波动、信息不对称及监管缺陷等核心问题,并结合京东物流、顺丰金融等案例,提出构建“技术 + 生态 + 制度”协同的韧性风控体系,从而为物流企业平衡金融创新与风险防控提供理论支撑与实践参考。
摘要:农业数智化转型亟需与之适配的供应链人才。文章基于理论分析与招聘数据实证,系统探讨了农业数智化转型的供应链重构作用、人才需求特征、核心能力框架及培养困境。研究发现,数智技术可以通过流程重构、模式创新与价值增值重塑农业供应链,催生新模式并激发新的人才需求;人才需求呈现区域不均衡与地域适配性,强调“农业 + 供应链 + 数智技术”复合能力。据此构建“技术—产业—系统一生态”四维能力框架,并揭示人才培养的系统性困境。最后提出政企研学用协同培养体系,为破解人才瓶颈、推动农业现代化提供了理论参照与实践路径。
摘要:文章以安阳市产业链供应链韧性为研究对象,采用熵权TOPSIS法对其进行综合评价。研究发现,安阳市作为传统工业城市向现代化产业体系转型的典型代表,产业链供应链韧性水平逐年提升,产业改革成效显著;技术投入对产业链供应链韧性的促进作用尤为明显。但也面临技术创新转化不足、教育投入占比低、金融服务不健全等问题。文章旨在探讨安阳市产业链供应链韧性和安全水平的提升路径,为地方和政府决策及周边地域产业协同发展提供参考。
摘要:近年来,全球供应链在多重冲击下面临着前所未有的挑战,其不稳定性不仅扰乱了全球的贸易和生产活动,还对企业正常运营、全球经济增长造成了影响。尽管数字化转型与供应链协同对提升韧性具有重要作用,但现实中企业往往会因高昂的成本和“搭便车”动机陷入两难困境,导致供应链整体抗风险能力被削弱。为此,文章构建包含政府、供应商、零售商的三方演化博弈模型,整合政策工具、信息技术参数与供应链协同机制,分析供应链韧性发展的不同阶段,政府对企业供应链韧性投入的对策和企业间通过收益分配与技术溢出效应形成的联动机制,有助于实现个体激励与集体韧性的平衡,进而为提升供应链韧性提供理论支持和实践指导。
摘要:文章对文旅产业供应链溯源难题与职业教育数字化转型需求,提出“区块链 + 文旅溯源 + 产教融合”三维融合创新模型。基于Hyperledger Fabric架构,构建非遗文化产品溯源系统,通过智能合约实现“生产—流通—消费”全周期数据上链存证,破解了手工艺制品身份认证的行业痛点。在产教融合实践方面,开发“区块链技术 + 文旅供应链”双链融合实训课程体系,设计密码学原理、智能合约开发、非遗溯源链运营的模块化教学方案,并配套建设虚实结合的区块链文旅实验室。以运城市国家级非遗项目为实证案例,验证系统在企业品牌保护中的有效性及其在教学场景中的实践价值。研究发现,该模型不仅提升了非遗产品的溯源效率,还促使校企共建了3门核心课程及2个省级实训基地,形成了“技术研发一人才培养—产业应用”的闭环生态。文章为文化遗产数字化保护与职业教育改革提供了双轮驱动的新范式,兼具理论创新价值与实践推广价值。
摘要:文章分析区块链技术在供应链金融中的应用,以蚂蚁金服“双链通”平台为案例,探讨区块链技术如何带来资金流转透明度提升、中小企业融资难题缓解、供应链各方信任合作加强等变革。尽管存在技术成熟度、法律法规适应性、市场普及度等挑战,但区块链技术在供应链金融中的应用仍展现出巨大潜力。研究表明,区块链技术对优化业务流程、降低交易成本、提高风险管理能力具有重要作用,为金融生态系统创新提供了新动力。未来需持续推动区块链技术的研发与应用,完善法律法规、加强市场教育,以促进其在供应链金融领域中的深入发展。
摘要:多式联运是一种整合公路、铁路、水运和航空等多种运输方式的综合性运输体系,可通过高效衔接不同运输方式,有效控制运输成本并提高效率。冷链运输货物的安全依赖于运输时效,其具有高度的时间敏感性。文章受国际物流 DHL和UPS 运输路线规划系统启发,将多式联运冷链物流中的不确定性因素纳入决策过程,建立了冷链多式运输的路径优化模型。仿真实验表明,模型在复杂环境中能有效应对运输风险,并能根据不同运输场景优化运输路径和方式,提升了运输的稳定性和安全性。
摘要:高频率的生鲜配送影响着城市的低碳转型进程,绿色城市建设离不开经营主体活动绿色程度的提高。文章立足城市生鲜供应模式,构建城市生鲜配送绿色评价指标体系,以批发市场、零售商超和社区电商为对象,观察生鲜供应多重架构模式,利用熵权-TOPSIS综合评价法探究北京市不同生鲜配送模式的绿色程度,进而提出符合政策要求和企业发展情况的绿色配送发展策略。研究表明,冷藏车的使用比重对城市生鲜绿色程度的影响最为显著;新能源配送车辆的使用比重和配送监管平台的影响次之;社区电商型企业的配送绿色程度最佳,其次为零售商超型企业;批发市场型企业的配送行为对环境的负面影响最大。
摘要:随着全球贸易和消费升级,冷链物流需求持续增长。冷链物流是海南自贸港建设的重要组成部分。准确预测海南省冷链物流需求,对政府制定相关政策,企业优化资源配置、提升物流效率具有重要意义。文章以海南省冷链物流需求为研究对象,基于灰色GM(1,1)模型,对其展开深入的预测分析。首先,介绍冷链物流的基本概念,并阐述灰色GM(1,1)模型的基本原理。其次,通过整理和分析海南省冷链物流需求的历史数据,构建基于灰色GM(1,1)模型的预测模型,并对预测结果展开分析和讨论。最后,提出相应的政策建议,以期为海南省冷链物流行业的发展提供有益参考和决策支持。
摘要:为应对现代仓储系统在动态响应、设备协同及能耗控制方面所面临的核心挑战,研究提出构建基于物联网与人工智能的智能仓储管理框架。通过构建物理感知、边缘计算、云端决策三层系统架构,实现仓储全要素数据的采集与处理;重点开发智能入库管理、动态储位优化、无人化出库及能耗管控这四大技术模块,并设计多源数据预测引擎、库存优化模型及异常诊断机制等核心算法;建立技术集成标准与人机协同实施方案,形成可扩展的智能仓储操作范式,以有效提升仓储作业效率与资源利用率,为制造业与物流业的数字化转型提供理论支撑与技术路径。
摘要:文章以无人机物流为切入点,剖析低空经济时代工程伦理教育面临的三大挑战:技术选代导致伦理规范滞后、传统教育体系与行业实践脱节、多元价值平衡难度加大。结合国内外典型案例提出“知识一能力一生态”的三维应对策略,包括重构分层课程模块、开发沉浸式教学方法、建立校企协同机制等。研究强调,工程教育需从“事后批判”转向“伦理嵌入式创新”,培养具备技术敏感性与伦理智慧的复合型人才,以支撑低空经济的可持续发展。
摘要:在教育数字化转型与新文科建设双重背景下,《国际物流》课程教学改革基于课程内容和数字技术深度融合理念,借助知识图谱、AI情景模拟、AI助教、VR场景、虚拟仿真平台等数字资源,优化了教学目标,重构了教学内容,构建起“双线六环”混合式教学模式,并开展了多维度实时数据监测和课程考核评价。数字技术与课程内容深度融合的教学改革与实践,满足了学生的个性化需求,实现小而精的教学,提升了教学质量,有利于挖掘和培育课程特色,优化课程建设。
摘要:物流业数字化转型催生智能装备运维、跨境供应链设计等新型技术需求,致使新需求与院校教育供给滞后形成结构性矛盾。文章基于行业能力缺口诊断,构建需求驱动型产教融合机制——需求传导机制通过动态监测技术选代趋势触发课程迭代;能力转化机制以模块化课程重塑教学体系;价值共生机制依托教育产能预订金与知识产权共享,构建校企利益共同体。在实施层面推进教学场景革命、学习路径重构及评价范式升级。基于该模式,缩短人才培养与产业需求的适配周期,为破解“企业招人难、学生就业难”困局提供系统性解决方案。
摘要:在数字化转型浪潮席卷全球的背景下,物流行业正经历从劳动密集型向智能化、技术化的深刻变革。高校物流管理专业人才培养模式的革新迫在眉睫,而人工智能技术的深度应用,为培养复合型物流人才提供了新路径。文章聚焦人工智能在物流管理专业人才培养中的实践探索,立足学生个性化发展需求,深入研究专业与人工智能的融合策略,以提升人才培养与行业的适配度。通过深入调研本校物流管理专业,系统梳理了人工智能应用现状与核心问题,并提出系列优化对策,以期为高校物流管理专业人才培养方案的优化提供理论依据,为“人工智能 + 物流”教育模式的创新发展以及服务行业转型升级提供实践参考。
摘要:《物流系统分析与设计实训》是物流管理专业的一门专业必修课,被视为物流管理专业学生打下坚实物流理论基础的关键。根据应用型人才培养的特点、要求,针对《物流系统分析与设计实训》课程传统教学中存在的问题,在分析课程特点的基础上,以“学以致用”为基本原则,遵循“学为主体、教为主导、目标导向”基本理念,基于成果产出导向教育(OBE)和面向工程实践设计(CDIO)教育理论提出课程教学方法。教学实践表明,该教学方法效果显著,能有效提升实训课程教学质量,为物流类专业实训课程教学改革提供参考。
摘要:数字经济的快速发展和数字技术在物流产业的应用,使运输、管理、运营等环节变得数智化、精准化、高效化。高职院校物流专业人才培养路径需要从知识结构、跨学科职业能力等方面入手,快速适应数字物流生态圈。文章分析数字物流对高职物流人才培育提出的变革要求,梳理现存主要困境,明确高职物流人才培养具体目标,并依托“数智赋能 + 产教融合”,提出“双主体、三融合、四递进”人才培育创新路径。